CASE PRESENTATION
恒压变频供水设备
一、概况

QS-HBP(Q)系列全自动变频调速供水设备是把微机技术、变频技术与电机控制技术相结合的新型的供水设备;是取代高位水箱、水塔的理想产品;是对气压供水设备的发展和补充。该设备由可编程控制器、变频调速器、控制电路及电机泵组成闭环供水控制系统,完全可以满足供水系统管网中的压力保持恒定。使得整个供水系统始终保持良好节能的运行状态。
QS-HBP(Q)系列全自动变频调速供水设备有生活专用供水、生活消防两用供水、变频定压补水等系统。
二、适用范围
1.生活供水。
2、工业用水,特别要求恒压的生产用水。
3.高层建筑、生活小区、军事设施的消防用水。
4.旧有给水系统(气压、水塔、高位水箱)的改造。
5.变频定压补水系统。
三、主要特点
1.采同微机控制,全自动运行,管理简单,使用方便、可靠。
2.结构紧凑,占地面积小,投资省,安装方便,便于集中管理。
3.功能齐全,通过面板操作实现用户所需的各种功能。
4.按所需压力,根据用水量的变化来调节电机泵的转速,使设备恒压供水,达到节能的目的。
5.对多台电机泵均能可靠地实现软启动,大大延长了设备的使用寿命。
6.根据流量的变化自动完成对多台水泵进行循环软启动运行、停止的全部过程。
7.带有小型气压水罐装置,由远传压力表发馈到控制器,从而使设备在小流量或零流量时可以停
机,进一步降低能耗,延长了设备的使用寿命。
8.保护功能完备:欠压保护、超压保护、过载保护、短路保护、失速防止等。
9、工作泵与备用泵具有周期性运转,自动巡检和手动巡检功能。

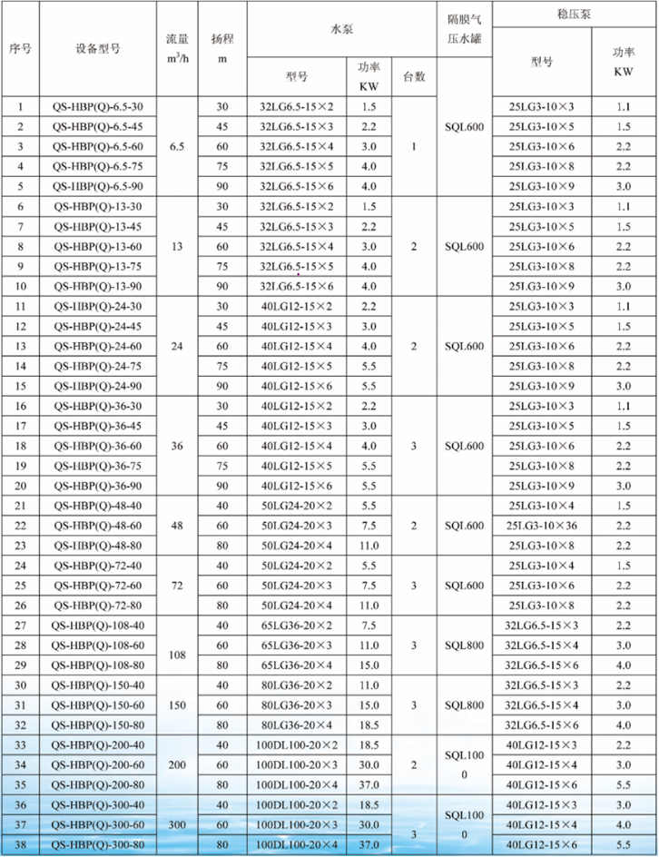
四、设备选型参考表:


关注我们
联系方式
联系人:李经理、勾经理
手机:13801252800、13910393098
座机:010-61537223、010-61537393
电子邮件(E-mail):qianshunlongda@126.com
地址:北京市北京经济技术开发区(通州)东石东一路3号院4号楼9层901
北京乾顺隆达工贸有限公司 京ICP备05064841号